missing translation for 'onlineSavingsMsg'
Learn More

DiscoverX PathHunter™ CHO-K1 PTGER3 β-Arrestin Cell Line

Product Code. 17343579
Encompass
Change view
Click to view available options
Quantity:
2 Vials
Unit Size:
2 ampoules
1 product options available for selection
Product selection table with 1 available options. Use arrow keys to navigate and Enter or Space to select.
Product Code. Quantity unitSize
17343579 2 Vials 2 ampoules
Use arrow keys to navigate between rows. Press Enter or Space to select a product option. 1 options available.
1 options
This item is not returnable. View return policy
Product Code. 17343579 Supplier DiscoverX Supplier No. 930640C2

Please to purchase this item. Need a web account? Register with us today!

This item is not returnable. View return policy

The PathHunter™ CHO-K1 PTGER3 β-Arrestin Cell Line measures PTGER3 (GPCR) activity via recruitment of β-Arrestin2. This cell line ships as two vials of cryopreserved cells.

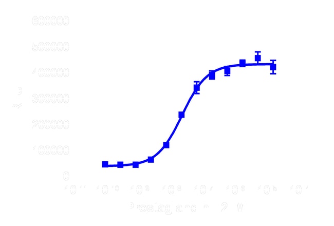
The PathHunter™ PTGER3 β-Arrestin cell line is a stable, engineered cell line for use in studying drug candidates (small molecules or biologics) targeting GPCRs. This cell line enables assessment of ligand (e.g. prostaglandin E2) based activation of PTGER3 GPCR activity via detection of β-arrestin recruitment. This product uses EFC technology (www.discoverx.com/technologies-platforms/enzyme-fragment-complementation-technology). The included cell line overexpresses PK-tagged PTGER3 and EA-tagged β-Arrestin 2. Activation of PTGER3 stimulates the recruitment of β-Arrestin 2 and produces EFC signal. This stable modified cell line is provided as two vials of cryopreserved cells.

Specifications

Assay Entry β-Arrestin recruitment
Cell Line CHO-K1
For Use With (Application) Cell Lines
Primary Agonist Prostaglandin E2
Quantity 2 Vials
Target Entry PTGER3
Accession Number NM_198716
Product Title
Select an issue

By clicking Submit, you acknowledge that you may be contacted by Fisher Scientific in regards to the feedback you have provided in this form. We will not share your information for any other purposes. All contact information provided shall also be maintained in accordance with our Privacy Policy.